2. Варіант 1(2). Геометрія : контрольні роботи


- 1. Варіант 1(1)
- 1. Варіант 1(2)
- 1. Варіант 2
- 2. Варіант 1(1)
- 2. Варіант 1(2)
- 2. Варіант 2(1)
- 2. Варіант 2(2)
- 3. Варіант 1(1)
- 3. Варіант 1(2)
- 3. Варіант 2(1)
- 3. Варіант 2(2)
- 4. Варіант 1(1)
- 4. Варіант 1(2)
- 4. Варіант 2(1)
- 4. Варіант 2(2)
- 4. Варіант 2(3)
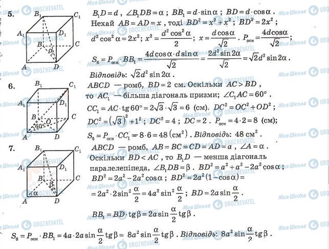
- 5. Варіант 1
- 5. Варіант 2(1)
- 5. Варіант 2(2)
- 6. Варіант 1(1)
- 6. Варіант 1(2)
- 6. Варіант 1(3)
- 6. Варіант 2
- 7. Варіант 1(1)
- 7. Варіант 1(2)
- 7. Варіант 2(1)
- 7. Варіант 2(2)
- 8. Варіант 1
- 8. Варіант 2(1)
- 8. Варіант 2(2)
- 9. Варіант 1(1)
- 9. Варіант 1(2)
- 9. Варіант 2(1)
- 9. Варіант 2(2)
- 10. Варіант 1(1)
- 10. Варіант 1(2)
- 10. Варіант 2(1)
- 10. Варіант 2(2)
- 10. Варіант 2(3)
- 10. Варіант 2(4)