1. Варіант 2(2). Самостійні роботи


- 1. Варіант 1
- 1. Варіант 2(1)
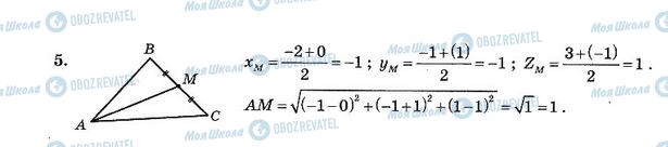
- 1. Варіант 2(2)
- 3. Варіант 1(1)
- 3. Варіант 1(2)
- 3. Варіант 2
- 4. Варіант 1(1)
- 4. Варіант 1(2)
- 4. Варіант 2
- 6. Варіант 1(1)
- 6. Варіант 1(2)
- 6. Варіант 2
- 7. Варіант 1(1)
- 7. Варіант 1(2)
- 7. Варіант 2
- 8. Варіант 1
- 8. Варіант 2(1)
- 8. Варіант 2(2)
- 9. Варіант 1
- 9. Варіант 2(1)
- 9. Варіант 2(2)
- 10. Варіант 1(1)
- 10. Варіант 1(2)
- 10. Варіант 2(2)
- 10. Варіант 2
- 11. Варіант 1(1)
- 11. Варіант 1(2)
- 11. Варіант 2
- 12. Варіант 1(1)
- 12. Варіант 1(2)
- 12. Варіант 2
- 13. Варіант 1(1)
- 13. Варіант 1(2)
- 13. Варіант 2
- 14. Варіант 1
- 14. Варіант 2
- 15. Варіант 1(1)
- 15. Варіант 1(2)
- 15. Варіант 2
- 16. Варіант 1(1)
- 16. Варіант 1(2)
- 16. Варіант 2
- 17. Варіант 1(1)
- 17. Варіант 1(2)
- 17. Вваріант 2(1)
- 18. Варіант 1
- 18. Варіант 2(1)
- 18. Варіант 2(2)
- 19. Варіант 1
- 19. Варіант 2
- 20. Варіант 1
- 20. Варіант 2
- 21. Варіант 1
- 21. Варіант 2(1)
- 21. Варіант 2(2)
- 22. Варіант 1
- 22. Варіант 2
- 23. Варіант 1(1)
- 23. Варіант 1(2)
- 23. Варіант 2
- 25. Варіант 1(1)
- 25. Варіант 1(2)
- 25. Варіант 2
- 26. Варіант 1(1)
- 26. Варіант 1(2)
- 26. Варіант 2
- 27. Варіант 1
- 27. Варіант 2(1)
- 27. Варіант 2(2)
- 28. Варіант 1
- 2
- 5
- 24