1026(1001). 26. Сложение и вычитание дробей с одинаковыми знаменателями


- 1005(980)
- 1006(981)
- 1007(982)
- 1008(983)
- 1009(984)
- 1010(985)
- 1011(986)
- 1012(987)
- 1013(988)
- 1014(989)
- 1015(990)
- 1016(991)
- 1017(992)
- 1018(993)
- 1019(994)
- 1020(995)
- 1021(996)
- 1022(997)
- 1023
- 1024(999)
- 1025(1000)
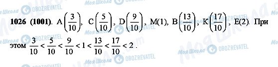
- 1026(1001)
- 1027(1002)
- 1028(1003)
- 1029(1004)
- 1030(1005)
- 1031(1006)
- 1032(1007)
- 1033(1008)
- 1034(1009)
- 1035(н)
- 1036(1010)
- 1037(1011)
- 1038(1012)
- 1039(1013)
- 1040(1014)
- 1041(1015)
- 1042(1016)
- 1043(1017)
- 1044(1018)
- 1045(1019)
- 1046(1020)
- 1047(1021)
- 1048(1022)
- 1049(1023)
- 1050(1024)