28.38(888). Параграф 28. Формулы сокращённого умножения


- 28.1(851)
- 28.2(852)
- 28.3(853)
- 28.4(854)
- 28.5(855)
- 28.6(856)
- 28.7(857)
- 28.8(858)
- 28.9(859)
- 28.10(860)
- 28.11(861)
- 28.12(862)
- 28.13(863)
- 28.14(864)
- 28.15(865)
- 28.16(866)
- 28.17(867)
- 28.18(868)
- 28.19(869)
- 28.20(870)
- 28.21(871)
- 28.22(872)
- 28.23(873)
- 28.24(874)
- 28.25(875)
- 28.26(876)
- 28.27(877)
- 28.28(878)
- 28.29(879)
- 28.30(880)
- 28.31(881)
- 28.32(882)
- 28.33(883)
- 28.34(884)
- 28.35(885)
- 28.36(886)
- 28.37(887)
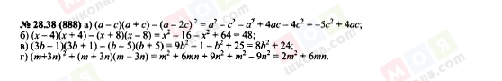
- 28.38(888)
- 28.39(889)
- 28.40(890)
- 28.41(891)
- 28.42(892)
- 28.43(893)
- 28.44(894)
- 28.45(895)
- 28.46(896)
- 28.47(897)
- 28.48(898)
- 28.49(899)