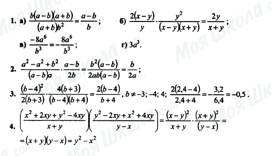
К-8А (§ 27,28) Вариант 1. Контрольные работы


- К-1 (§ 1,2) Вариант 3
- К-1 (§ 1,2) Вариант 4
- К-1А (§ 1-5) Вариант 1_1
- К-1А (§ 1-5) Вариант 1_2
- К-1А (§ 1-5) Вариант 2_1
- К-1А(§ 1-5) Вариант 2_2
- К-1А (§ 1-5) Вариант 3
- К-1А (§-1-5) Вариант 4
- К-2 (§ 3) Вариант 1
- К-2 (§3) Вариант 2
- К-2(§ 3) Вариант 3
- К-2(§ 3) Вариант 4
- К-2А (§ 6-8) Вариант 1
- К-2А (§ 6-8) Вариант 2
- К-2А (§ 6-8) Вариант 3
- К-2А (§ 6-8) Вариант 4
- К-3 (§ 4,5) Вариант 1
- К-3 (§ 4,5) Вариант 2
- К-3 (§ 4,5) Вариант 3
- К-3 (§ 4,5) Вариант 4
- К-4 (§ 6-8) Вариант 1
- К-4 (§ 6-8) Вариант 2
- К-4 (§ 6-8) Вариант 3
- К-3А (§ 9-12) Вариант 1
- К-3А (§ 9-12) Вариант 2
- К-3А (§ 9-12) Вариант 4
- К-4А (§ 13-18) Вариант 1
- К-4А (§ 13-18) Вариант 2
- К-4А (§ 13-18) Вариант 3
- К-4А (§ 13-18) Вариант 4
- К-5 (§ 9,10) Вариант 1
- К-5 (§ 9,10) Вариант 2
- К-5 (§ 9,10) Вариант 3
- К-5 (§ 9,10) Вариант 4
- К-5А (§ 19,20) Вариант 1
- К-5А (§ 19,20) Вариант 2
- К-5А (§ 19,20) Вариант 3
- К-5А (§ 19,20) Вариант 4
- К-6 (§11) Вариант 1
- К-6 (§ 11) Вариант 2
- К-6 (§ 11) Вариант 3
- К-6 (§ 11) Вариант 4
- К-6А (§ 21-23) Вариант 1
- К-6А (§ 21-23) Вариант 2
- К-6А (§ 21-23) Вариант 3
- К-6А (§ 21-23) Вариант 4
- К-7 (§ 12,13) Вариант 1
- К-7 (§12,13) Вариант 2
- К-7 (§12,13) Вариант 3
- К-7 (§ 12,13) Вариант 4
- К-7А (§ 24,26) Вариант 1
- К-7А (§ 24-26) Вариант 2
- К-7А (§ 24-26) Вариант 3
- К-7А (§ 24-26) Вариант 4
- К-8 (§ 14) Вариант 1
- К-8 (§ 14) Вариант 2
- К-8 (§ 14) Вариант 3
- К-8 (§ 14) Вариант 4
- К-8А (§ 27,28) Вариант 1
- К-8А (§ 27,28) Вариант 2
- К-8А (§ 27,28) Вариант 3
- К-8А (§ .27,28) Вариант 4
- К-9 (§ 15,16) Вариант 1
- К-9 (§ 15,16) Вариант 2
- К-9 (§ 15,16) Вариант 3
- К-9 (§ 15,16) Вариант 4
- К-9А (§ 29-32) Вариант 1
- К-9А (§ 29-32) Вариант 2
- К-9 (§ 15,16) Вариант 3
- К-9 (§ 15,16) Вариант 4
- К-9А (§ 29-32) Вариант 1
- К-9А (§ 29-32) Вариант 2
- К-9А (§ 29-32) Вариант 3
- К-9А (§ 29-32) Вариант 4
- К-10А (§ 33-37) Вариант 1
- К-10А (§ 33-37) Вариант 2
- К-10А (§ 33-37) Вариант 3
- К-10А (§ 33-37) Вариант 4