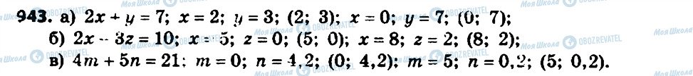
943. Розділ 4. ЛІНІЙНІ РІВНЯННЯ ТА ЇХ СИСТЕМИ


- 808
- 810
- 816
- 817
- 821
- 824
- 830
- 836
- 837
- 846
- 848
- 849
- 856
- 859
- 862
- 871
- 872
- 874
- 875
- 876
- 877
- 900
- 903
- 904
- 910
- 912
- 915
- 918
- 920
- 925
- 930
- 932
- 933
- 934
- 935
- 936
- 941
- 943
- 945
- 948
- 951
- 956
- 960
- 963
- 965
- 969
- 972
- 975
- 976
- 977
- 978
- 986
- 988
- 991
- 992
- 995
- 996
- 998
- 999
- 1000
- 1003
- 1005
- 1006
- 1008
- 1012
- 1021
- 1022
- 1026
- 1028
- 1032
- 1034
- 1037
- 1042
- 1043
- 1044
- 1045
- 1046
- 1047
- 1048
- 1049
- 1050
- 1053
- 1056
- 1058
- 1060
- 1063
- 1066
- 1070
- 1072
- 1076
- 1077
- 1078
- 1079
- 1080
- 1081
- 1087
- 1090
- 1093
- 1095
- 1097
- 1100
- 1104
- 1109
- 1112
- 1116
- 1121
- 1122
- 1123
- 1127
- 1129
- 1131
- 1136
- 1138
- 1141
- 1144
- 1148
- 1151
- 1153
- 1154
- 1156
- 1159
- 1164