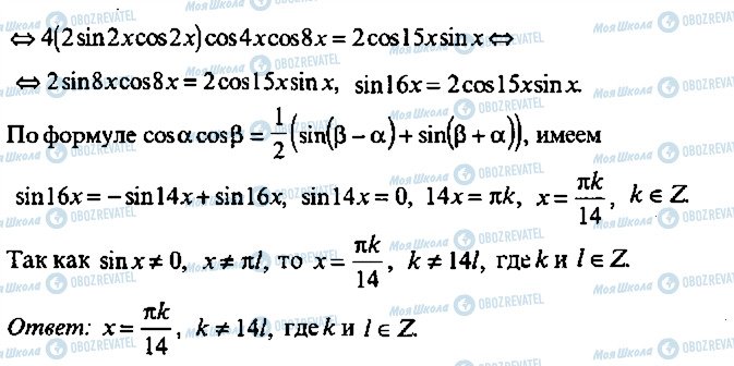
230. Решение к главе 8