47.8(1624). § 47. Дифференцирование показательной и логарифмической функций


- 46.26(1656)
- 46.27(1657)
- 46.28(1658)
- 47.1
- 47.2(1618)
- 47.3(1619)
- 47.4
- 47.5(1621)
- 47.6(1622)
- 47.7(1623)
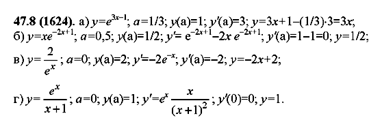
- 47.8(1624)
- 47.9(1630)
- 47.10(1638)
- 47.11(1631)
- 47.12(1632)
- 47.13
- 47.14(1635)
- 47.15
- 47.16(1637)
- 47.17(1648)
- 47.18(1639)
- 47.19(1652)
- 47.20(1653)
- 47.21(1640)
- 47.22(1654)
- 47.23(1641)
- 47.74(1646)
- 47.25(1647)
- 1616
- 1617
- 1625
- 1620
- 1626
- 1627
- 1628
- 1629
- 1633(c)
- 1634
- 1636
- 1642
- 1643
- 1644
- 1645
- 1649
- 1650
- 1651
- 1655
- 1659
- 1660
- 1661
- 1662