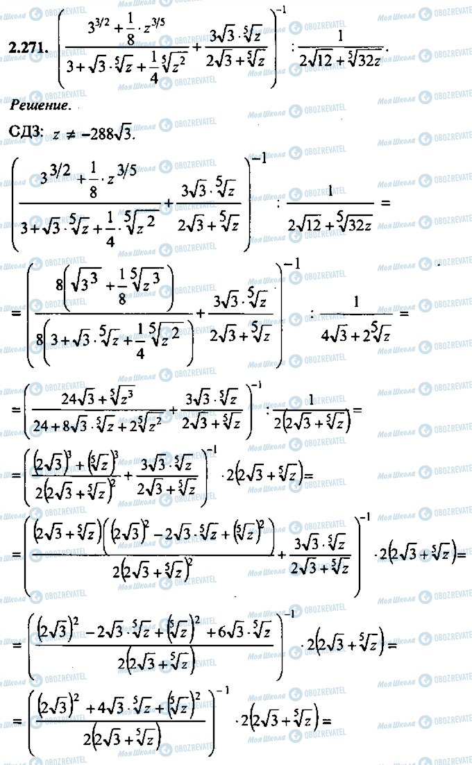
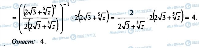
271. Решение к главе 2


1 / 2

- 159
 - 160
 - 161
 - 162
 - 163
 - 164
 - 165
 - 166
 - 167
 - 168
 - 169
 - 170
 - 171
 - 172
 - 173
 - 174
 - 175
 - 176
 - 177
 - 178
 - 179
 - 180
 - 181
 - 182
 - 183
 - 184
 - 185
 - 186
 - 187
 - 188
 - 189
 - 190
 - 191
 - 192
 - 193
 - 194
 - 195
 - 196
 - 197
 - 198
 - 199
 - 200
 - 201
 - 202
 - 203
 - 204
 - 205
 - 206
 - 207
 - 208
 - 209
 - 210
 - 211
 - 212
 - 213
 - 214
 - 215
 - 216
 - 217
 - 218
 - 219
 - 220
 - 221
 - 222
 - 223
 - 224
 - 225
 - 226
 - 227
 - 228
 - 229
 - 230
 - 231
 - 232
 - 233
 - 234
 - 235
 - 236
 - 237
 - 238
 - 239
 - 240
 - 241
 - 242
 - 243
 - 244
 - 245
 - 246
 - 247
 - 248
 - 249
 - 250
 - 251
 - 252
 - 253
 - 254
 - 255
 - 256
 - 257
 - 258
 - 259
 - 260
 - 261
 - 262
 - 263
 - 264
 - 265
 - 266
 - 267
 - 268
 - 269
 - 270
 - 271
 - 272
 - 273
 - 274
 - 275
 - 276
 - 277
 - 278
 - 279
 - 280
 - 281
 - 282
 - 283
 - 284
 - 285
 - 286
 - 287
 - 288
 - 289
 - 290
 - 291
 - 292
 - 293
 - 294
 - 295
 - 296
 - 297
 - 298
 - 299
 - 300
 - 301
 - 302
 - 303
 - 304
 - 305
 - 306
 - 307
 - 308
 - 309
 - 310
 - 311