566. 17. Властивості арифметичного квадратного кореня - Завдання для самоперевірки № 4 № 511 - 665


- 511
- 512
- 513
- 514
- 515
- 516
- 517
- 518(а-б)
- 518(в)
- 519
- 520
- 521
- 522
- 523(а-г)
- 523(в-г)
- 523(д-е)
- 524
- 525
- 526
- 527
- 528
- 529
- 530(а-в)
- 530(г-е)
- 531(а-в)
- 532(а-б)
- 532(д-е)
- 533(а-в)
- 534(а-в)
- 535(а-б)
- 535(в-г)
- 536
- 537
- 538
- 539(а-д)
- 540(а)
- 540(б)
- 540(в)
- 540(г)
- 541(а)
- 541(б)
- 541(в)
- 541(г)
- 542(а)
- 542(б)
- 542(в)
- 542(г)
- 543(а)
- 543(б)
- 544(а)
- 544(б)
- 545(а)
- 545(б)
- 546(а-е)
- 547(а-б)
- 548
- 549(б)
- 549
- 550(а)
- 550(б)
- 551(а)
- 551(б)
- 551(в)
- 551(г)
- 552(а)
- 552(б-г)
- 553(а-б)
- 554
- 555
- 556
- 557
- 558
- 559
- 560
- 561
- 562
- 563
- 564
- 565(а-в)
- 565(г-е)
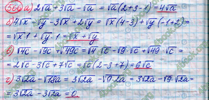
- 566
- 567
- 568(а-б)
- 568(в-ж)
- 569(а-э)
- 569(ж)
- 570(а)
- 570(б)
- 570(в)
- 570(г)
- 570(д)
- 570(е)
- 571
- 572
- 573
- 574
- 575
- 576(а-в)
- 576(г-е)
- 577(а-е)
- 578(а-б)
- 578(в-г)
- 578(д-е)
- 578(э-ж)
- 579(а-б)
- 579(в-г)
- 579(д-ж)
- 580(а-в)
- 580(г-з)
- 581
- 582(а-б)
- 582(в-е)
- 583
- 584
- 585(а-б)
- 586
- 587(а)
- 587(б)
- 587(в)
- 587(г)
- 588(а)
- 588(б)
- 588(в)
- 588(г)
- 588(д)
- 589
- 590(а)
- 590(б)
- 590(в)
- 591(а-б)
- 592(а)
- 592(б)
- 593
- 594
- 595
- 596
- 597
- 598
- 599
- 600
- 601
- 602
- 603
- 604
- 605
- 606
- 607
- 608
- 609
- 610
- 611
- 612
- 613
- 614(б)
- 614
- 615(а)
- 615(б)
- 616(а-б)
- 616(в)
- 616(г)
- 616(д)
- 616(е)
- 616(ж)
- 616(з)
- 617(а)
- 617(б)
- 617(в)
- 617(г)
- 617(д)
- 617(е)
- 618(б)
- 618
- 619(а)
- 619(б)
- 619(в)
- 620
- 621
- 622
- 623(а)
- 623(б)
- 623(в)
- 623(г)
- 624(в-б)
- 625(а)
- 625(б)
- 626
- 627
- 628
- 629
- 630
- 631(а-в)
- 631(г-д)
- 631(е-э)
- 632(а-б)
- 632(в-г)
- 633(а-г)
- 634(а-г)
- 634(д-е)
- 635(а-в)
- 635(г-э)
- 636
- 637
- 638
- 639
- 640(а-б)
- 640(в)
- 641
- 642
- 643
- 644
- 645
- 646
- 647
- 648
- 649
- 650(а)
- 650(б)
- 651
- 652
- 653(а)
- 653(б)
- 654(а)
- 654(б)
- 655
- 656(а)
- 656(б)
- 656(в)
- 656(г)
- 656(д)
- 656(е)
- 657(а)
- 657(б)
- 657(в)
- 658
- 659(а)
- 659(б)
- 660(а)
- 660(б)
- 660(в)
- 661
- 662
- 663(а)
- 663(б)
- 663(в)
- 664
- 665