829. Параграф 24. Координати вектора


- Пояснення Вектор з початку координат
- Пояснення Додавання (віднімання ) векторів
- Пояснення Квадрат довжини вектора
- Пояснення Координати вектора
- Пояснення Множення вектора на число
- Пояснення Перевірка колінеарності вектора
- 796
- 797
- 798
- 799
- 800
- 801
- 802
- 803
- 804
- 805
- 806
- 807
- 808
- 809
- 810
- 811
- 812
- 813
- 814
- 815
- 816
- 817
- 818
- 819
- 820
- 821
- 822
- 823
- 824
- 825
- 828
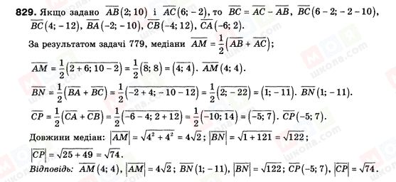
- 829
- 830
- 831
- 832
- 833
- 834
- 835
- 836