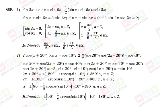
868. Параграф 5. Тригонометричні рівняння і нерівності


- 772
 - 773
 - 774
 - 775
 - 776
 - 777
 - 778
 - 779
 - 780
 - 781
 - 782
 - 783
 - 784
 - 785
 - 786
 - 787
 - 788
 - 789
 - 790
 - 791
 - 792
 - 793
 - 794
 - 795
 - 796
 - 797
 - 798
 - 799
 - 800
 - 801
 - 802
 - 803
 - 804
 - 805
 - 806
 - 807
 - 808
 - 809
 - 810
 - 811
 - 812
 - 813
 - 814
 - 815
 - 816
 - 817
 - 818
 - 819
 - 820
 - 821
 - 822
 - 823
 - 824
 - 825
 - 826
 - 827
 - 828
 - 829
 - 830
 - 831
 - 832
 - 833
 - 834
 - 835
 - 836
 - 837
 - 838
 - 839
 - 840
 - 841
 - 842
 - 843
 - 844
 - 845
 - 846
 - 847
 - 848
 - 849
 - 850
 - 851
 - 852
 - 853
 - 854
 - 855
 - 856
 - 857
 - 858
 - 859
 - 860
 - 861
 - 862
 - 863
 - 864
 - 865
 - 866
 - 867
 - 868
 - 869
 - 870
 - 871
 - 872
 - 873
 - 874
 - 875
 - 876
 - 877
 - 878
 - 879
 - 880
 - 881
 - 882
 - 883
 - 884
 - 885
 - 886
 - 887
 - 888
 - 889
 - 890
 - 891
 - 892
 - 893
 - 894
 - 895
 - 896
 - 897
 - 898
 - 899
 - 900
 - 901
 - 902
 - 903
 - 904
 - 905
 - 906
 - 907
 - 908
 - 909
 - 910
 - 911
 - 912
 - 913
 - 914
 - 915
 - 916
 - 917
 - 918
 - 919
 - 920
 - 921
 - 922
 - 923
 - 924
 - 925
 - 926
 - 927
 - 928
 - 929
 - 930
 - 931
 - 932
 - 933
 - 934
 - 935
 - 936
 - 937
 - 938
 - 939
 - 940
 - 941
 - 942
 - 943
 - 944
 - 945
 - 946
 - 947