39.26(1329). § 39. Показательная и логарифмическая функции


- 39.1(1300)
- 39.2(1301)
- 39.3(1303)
- 39.4(1305)
- 39.5(1306)
- 39.6(1307)
- 39.7(1308)
- 39.8(1310)
- 39.9(1311)
- 39.10(1312)
- 39.11(1313)
- 39.12(1315)
- 39.13(1316)
- 39.14(1317)
- 39.15(1318)
- 39.16(1319)
- 39.17(1321)
- 39.18(1322)
- 39.19(1343)
- 39.20(1323)
- 39.21(1324)
- 39.22(1325)
- 39.23(1326)
- 39.24(1327)
- 39.25(1328)
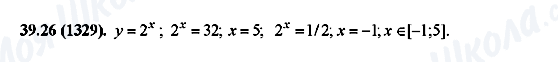
- 39.26(1329)
- 39.27(1330)
- 39.28(1331)
- 39.29(1332)
- 39.30(1333)
- 39.31(1334)
- 39.32(1335)
- 39.33(1336)
- 39.34(1337)
- 39.35(1338)
- 39.36(1339)
- 39.37(1340)
- 39.38(1341)
- 39.39(1342)
- 39.40(1347)
- 39.41(1348)
- 39.42(1356)
- 1302(c)
- 1304(c)
- 1309(c)
- 1314(c)
- 1320(c)
- 1343(c)
- 1344(c)
- 1345(c)
- 1346(c)
- 1349(c)
- 1350(c)
- 1351(c)
- 1352(c)
- 1353(c)
- 1354(c)
- 1355(c)