1422(c). § 40. Показательные уравнения и неравенства


- 40.1(1357)
- 40.2(1358)
- 40.3(1359)
- 40.4(1360)
- 40.5(1361)
- 40.6(1362)
- 40.7(1363)
- 40.8(1364)
- 40.9(1376)
- 40.10(1377)
- 40.11(1378)
- 40.12(1379)
- 40.13(1365)
- 40.14(1366)
- 40.15(1367)
- 40.16(1368)
- 40.17(1369)
- 40.18(1384)
- 40.19(1370)
- 40.20(1380)
- 40.21(1381)
- 40.22(1382)
- 40.23(1371)
- 40.24(1372)
- 40.25(1386)
- 40.26(1387)
- 40.27(1373)
- 40.28(1374)
- 40.29(1375)
- 40.30(1396)
- 40.31(1397)
- 40.32(1398)
- 40.33(1399)
- 40.34(1400)
- 40.35(1401)
- 40.36(1402)
- 40.37(1403)
- 40.38(1404)
- 40.39(1405)
- 40.40(1406)
- 40.41(1407)
- 40.42(1408)
- 40.43(1409)
- 40.44(1410)
- 40.45(1412)
- 40.46(1413)
- 40.47(1414)
- 40.48(1426)
- 40.49(1427)
- 1383(c)
- 1385(c)
- 1388(c)
- 1392(c)
- 1389(c)
- 1390(c)
- 1391(c)
- 1393(c)
- 1394(c)
- 1411(c)
- 1395(c)
- 1415(c)
- 1416(c)
- 1417(c)
- 1418(c)
- 1419(c)
- 1420(c)
- 1421(c)
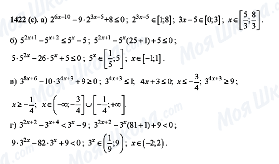
- 1422(c)
- 1423(c)
- 1424(c)
- 1425(c)
- 1429(c)