42.8(1467). § 42


- 42.1
- 42.2
- 42.3(1464)
- 42.4(1462)
- 42.5(1485)
- 42.6
- 42.7(1466)
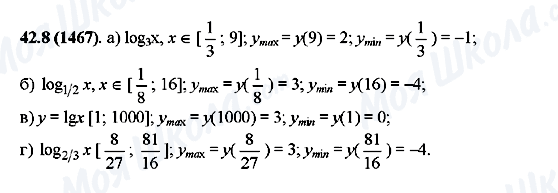
- 42.8(1467)
- 42.9(1469)
- 42.10(1470)
- 42.11(1476)
- 42.12(1478)
- 42.13(1479)
- 42.14
- 42.15(1481)
- 42.16(1482)
- 42.17(1483)
- 42.18(1484)
- 42.19(1488)
- 42.20(1489)
- 42.21(1491)
- 42.22(1490)
- 42.23(1492)
- 42.24(1493)
- 42.25(1494)
- 1457(c)
- 1458(c)
- 1459(c)
- 1460(c)
- 1461(c)
- 1463(c)
- 1465(c)
- 1468(c)
- 1471(c)
- 1472(c)
- 1473(c)
- 1474(c)
- 1475(c)
- 1477(c)
- 1486(c)
- 1487(c)