43.5(1503). § 43. Свойства логарифма


- 43.1
- 43.2
- 43.3(1499)
- 43.4(1500)
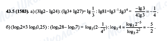
- 43.5(1503)
- 43.6(1507)
- 43.7(1508)
- 43.8(1509)
- 43.9(1511)
- 43.10(1512)
- 43.11(1513)
- 43.12(1516)
- 43.13(1517)
- 43.14(1519)
- 43.15(1520)
- 43.16
- 43.17(1536)
- 43.18(1537)
- 43.19(1505)
- 43.20(1522)
- 43.21(1538)
- 43.23(1526)
- 43.22
- 43.24(1527)
- 43.25(1528)
- 43.26(1529)
- 43.27(1530)
- 43.28(1531)
- 43.29(1540)
- 43.30(1532)
- 43.31(1533)
- 43.32(1534)
- 43.33(1541)
- 43.35(1544)
- 45.36(1545)
- 43.34(1539)
- 45.37(1546)
- 1495
- 1496
- 1497
- 1498
- 1501(c)
- 1502(c)
- 1504(c)
- 1506(c)
- 1510(c)
- 1514(c)
- 1515(c)
- 1518(c)
- 1521(c)
- 1523(c)
- 1524(c)
- 1525(c)
- 1535(c)
- 1542(c)
- 1543(c)