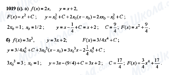
1019(c). § 48. Первообразная


- 48.1(985)
- 48.2(986)
- 48.3(987)
- 48.4(988)
- 48.5
- 48.6
- 48.7
- 48.8(1012)
- 48.9(994)
- 48.10
- 48.11
- 48.12(1003)
- 48.13(1004)
- 48.14(1005)
- 48.15(1010)
- 48.16(1011)
- 48.17(1013)
- 48.18(1018)
- 48.19(1020)
- 989
- 48.20
- 990(c)
- 48.21
- 991(c)
- 48.22
- 992(c)
- 993(c)
- 995(c)
- 996(c)
- 997(c)
- 998(c)
- 999(c)
- 1000(c)
- 1001(c)
- 1002(c)
- 1006(c)
- 1007(c)
- 1008(c)
- 1009(c)
- 1014(c)
- 1015(c)
- 1016(c)
- 1017(c)
- 1019(c)