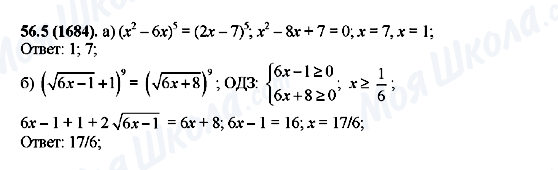
56.5(1684). § 56. Общие методы решения уравнений


- 56.37(1725)
- 56.38(1727)
- 56.39(1739)
- 56.40(1742)
- 56.41(1743)
- 56.42(1744)
- 56.1(1679)
- 56.2(1681)
- 56.3(1682)
- 56.4
- 56.5(1684)
- 56.6(1684)
- 56.7(1686)
- 56.8(1688)
- 56.9(1689)
- 56.10(1690)
- 56.11(1691)
- 56.12(1692)
- 56.13(1693)
- 56.14(1694)
- 56.15(1695)
- 56.16(1696)
- 56.17(1697)
- 56.18(1698)
- 56.19(1699)
- 56.20(1700)
- 56.21(1701)
- 56.22(1702)
- 56.23(1703)
- 56.24(1704)
- 56.25(1708)
- 56.26(1712)
- 56.27(1713)
- 56.28(1714)
- 56.29(1715)
- 56.30(1716)
- 56.31
- 56.32(1718)
- 56.33(1720)
- 56.34(1721)
- 56.35(1722)
- 56.36(1723)
- 1680(c)
- 1683(c)
- 1685(c)
- 1687(c)
- 1690(c)
- 1705(c)
- 1706(c)
- 1707(c)
- 1709(c)
- 1710(c)
- 1711(c)
- 1717(c)
- 1719(c)
- 1724(c)
- 1726(c)
- 1728(c)
- 1729(c)
- 1730(c)
- 1731(c)
- 1732(c)
- 1733(c)
- 1734(c)
- 1735(c)
- 1736(c)
- 1738(c)
- 1740(c)
- 1741(c)