59.24(1833). § 59. Системы уравнений


- 59.1(1808)
- 59.2
- 59.3(1810)
- 59.4(1811)
- 59.5(1812)
- 59.6(1813)
- 59.8(1815)
- 59.7(1814)
- 59.9(1816)
- 59.11(1820)
- 59.12(1820)
- 59.10(1817)
- 59.13(1821)
- 59.14(1821)
- 59.15(1822)
- 59.16(1834)
- 59.17(1835)
- 59.18(1836)
- 59.19(1842)
- 59.20(1844)
- 59.21(1849)
- 1808(c)
- 1809(c)
- 1814(c)
- 59.22(1831)
- 1818(c)
- 59.23(1832)
- 1819(c)
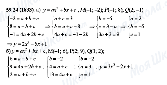
- 59.24(1833)
- 1823(c)
- 59.25
- 1824(c)
- 59.26
- 1825(c)
- 59.27(1854)
- 1826(c)
- 1827(c)
- 1828(c)
- 1829(c)
- 1830(c)
- 1833(c)
- 1837(c)
- 1838(c)
- 1839(c)
- 1840(c)
- 1841(c)
- 1843(c)
- 1845(c)
- 1846(c)
- 1847(c)
- 1848(c)
- 1850(c)
- 1851(c)
- 1852(c)
- 1853(c)