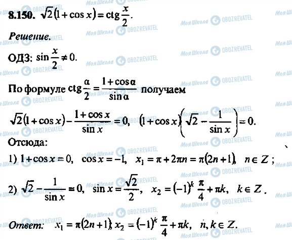
150. Глава 8. Тригонометрические уравнения