1711. § 45. Задачі та приклади на всі дії з натуральними числами і десятковими дробами


- 1620
- 1621
- 1622
- 1623
- 1624
- 1625
- 1626
- 1627
- 1628
- 1629
- 1630
- 1631
- 1632
- 1633
- 1634
- 1635
- 1636
- 1637
- 1638
- 1639
- 1640
- 1641
- 1642
- 1643
- 1644
- 1645
- 1646
- 1647
- 1648
- 1649
- 1650
- 1651
- 1652
- 1653
- 1654
- 1655
- 1656
- 1657
- 1658
- 1659
- 1660
- 1661
- 1662
- 1663
- 1664
- 1665
- 1666
- 1667
- 1668
- 1669
- 1670
- 1671
- 1672
- 1673
- 1674
- 1675
- 1676
- 1677
- 1678
- 1679
- 1680
- 1681
- 1682
- 1683
- 1684
- 1685
- 1686
- 1687
- 1688
- 1689
- 1690
- 1691
- 1692
- 1693
- 1694
- 1695
- 1696
- 1697
- 1698
- 1699
- 1700
- 1701
- 1702
- 1703
- 1704
- 1705
- 1706
- 1707
- 1708
- 1709
- 1710
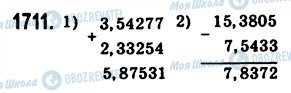
- 1711
- 1712
- 1713
- 1714
- 1715
- 1716
- 1717
- 1718
- 1719
- 1720
- 1721
- 1722
- 1723
- 1724
- 1725
- 1726
- 1727
- 1728
- 1729
- 1730
- 1731
- 1732
- 1733
- 1734
- 1735
- 1736
- 1737
- 1738
- 1739
- 1740
- 1741
- 1742
- 1743
- 1744