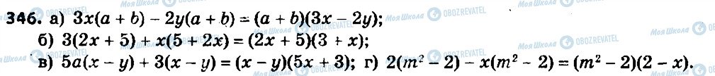
346. Розділ 2. РОЗКЛАДАННЯ МНОГОЧЛЕНІВ НА МНОЖНИКИ


- 339
 - 340
 - 341
 - 342
 - 343
 - 344
 - 345
 - 346
 - 347
 - 348
 - 349
 - 350
 - 351
 - 352
 - 353
 - 354
 - 355
 - 356
 - 357
 - 358
 - 376
 - 377
 - 378
 - 379
 - 380
 - 381
 - 382
 - 383
 - 384
 - 385
 - 386
 - 387
 - 388
 - 389
 - 390
 - 391
 - 392
 - 393
 - 394
 - 395
 - 396
 - 397
 - 398
 - 399
 - 400
 - 401
 - 402
 - 403
 - 404
 - 407
 - 430
 - 432
 - 434
 - 436
 - 440
 - 446
 - 464
 - 465
 - 466
 - 467
 - 469
 - 470
 - 473
 - 475
 - 478
 - 479
 - 483
 - 486
 - 488
 - 493
 - 496
 - 498
 - 506
 - 508
 - 512
 - 513
 - 514
 - 516
 - 520
 - 523
 - 524
 - 528
 - 531
 - 537
 - 540
 - 544
 - 548
 - 551
 - 556
 - 559
 - 560
 - 561
 - 562
 - 568
 - 575
 - 577
 - 580
 - 581
 - 585
 - 586
 - 589
 - 592
 - 593
 - 598
 - 604
 - 605
 - 606
 - 607
 - 608
 - 609
 - 610
 - 611
 - 616
 - 617
 - 620
 - 622
 - 625
 - 626
 - 630
 - 632
 - 635
 - 639
 - 641
 - 644
 - 646
 - 650
 - 656
 - 659
 - 663
 - 666
 - 668
 - 669
 - 670
 - 671