49.8(1026). § 49. Определенный интеграл


- 49.1(1021)
- 49.2(1022)
- 49.3
- 49.4
- 49.5
- 49.6
- 49.7
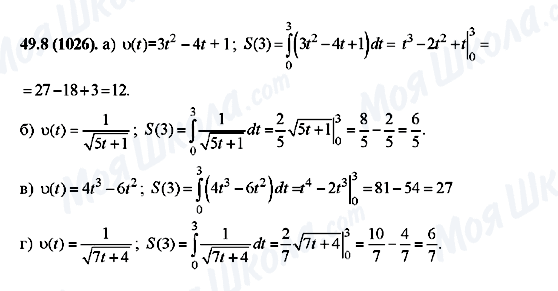
- 49.8(1026)
- 49.9(1027)
- 49.10(1028)
- 49.11(1029)
- 49.12
- 49.13
- 49.14(1032)
- 49.15
- 49.16
- 49.17
- 49.18
- 49.19
- 49.20
- 49.21
- 49.22(1034)
- 49.23(1036)
- 49.24
- 49.25
- 49.28(1043)
- 1023(c)
- 1024(c)
- 1025(c)
- 1030(c)
- 1031(c)
- 1033(c)
- 1035(c)
- 1037(c)
- 1038(c)
- 1039(c)
- 1040(c)
- 1041(c)
- 1046(c)
- 1047(c)
- 1048(c)
- 1049(c)
- 1053(c)
- 1054(c)
- 1055(c)
- 1056(c)
- 1057(c)
- 1059(c)
- 1060(c)
- 1062(c)