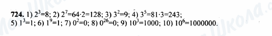
724. § 4.


- 617
- 618
- 619
- 620
- 621
- 622
- 623
- 624
- 625
- 626
- 627
- 640
- 641
- 642
- 643
- 644
- 645
- 646
- 647
- 651
- 652
- 653
- 654
- 655
- 656
- 657
- 658
- 659
- 660
- 661
- 662
- 663
- 664
- 676
- 677
- 678
- 679
- 680
- 681
- 682
- 683
- 688
- 689
- 690
- 691
- 692
- 693
- 694
- 695
- 696
- 697
- 698
- 699
- 700
- 713
- 714
- 715
- 716
- 717
- 722
- 723
- 724
- 725
- 726
- 727
- 728
- 729
- 730
- 731
- 732
- 733
- 734
- 735
- 736
- 737
- 738
- 739
- 757
- 758
- 759
- 760
- 761
- 762
- 763
- 764
- 765
- 766
- 767
- 772
- 773
- 774
- 775
- 776
- 777
- 778
- 779
- 794
- 795
- 796
- 797
- 798
- 799
- 800
- 801
