9.140. 5.Нелинейные системы уравнений


- 9.111
- 9.112
- 9.113
- 9.114
- 9.115
- 9.116
- 9.117
- 9.118
- 9.119
- 9.120
- 9.121
- 9.122
- 9.123
- 9.124
- 9.125
- 9.126
- 9.127
- 9.128
- 9.129
- 9.130
- 9.131
- 9.132
- 9.133
- 9.134
- 9.135
- 9.136
- 9.137
- 9.138
- 9.139
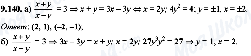
- 9.140
- 9.141
- 9.142
- 9.143
- 9.144
- 9.145
- 9.146
- 9.147
- 9.148
- 9.149
- 9.150
- 9.151
- 9.152
- 9.153
- 9.154
- 9.155
- 9.156
- 9.157
- 9.158
- 9.159
- 9.160
- 9.161
- 9.162
- 9.163
- 9.164
- 9.165
- 9.166
- 9.167
- 9.168
- 9.169
- 9.170
- 9.171
- 9.172
- 9.173
- 9.174
- 9.175
- 9.176
- 9.177
- 9.178
- 9.179
- 9.180
- 9.181
- 9.182
- 9.183
- 9.184
- 9.185
- 9.186
- 9.189
- 9.190
- 9.191
- 9.192
- 9.193
- 9.194
- 9.195
- 9.196
- 9.197
- 9.198
- 9.199
- 9.200
- 9.201
- 9.202
- 9.203
- 9.204
- 9.205
- 9.206
- 9.207
- 9.208
- 9.209
- 9.210
- 9.211
- 9.212
- 9.213
- 9.214
- 9.215