9.185. 5.Нелинейные системы уравнений


- 9.111
 - 9.112
 - 9.113
 - 9.114
 - 9.115
 - 9.116
 - 9.117
 - 9.118
 - 9.119
 - 9.120
 - 9.121
 - 9.122
 - 9.123
 - 9.124
 - 9.125
 - 9.126
 - 9.127
 - 9.128
 - 9.129
 - 9.130
 - 9.131
 - 9.132
 - 9.133
 - 9.134
 - 9.135
 - 9.136
 - 9.137
 - 9.138
 - 9.139
 - 9.140
 - 9.141
 - 9.142
 - 9.143
 - 9.144
 - 9.145
 - 9.146
 - 9.147
 - 9.148
 - 9.149
 - 9.150
 - 9.151
 - 9.152
 - 9.153
 - 9.154
 - 9.155
 - 9.156
 - 9.157
 - 9.158
 - 9.159
 - 9.160
 - 9.161
 - 9.162
 - 9.163
 - 9.164
 - 9.165
 - 9.166
 - 9.167
 - 9.168
 - 9.169
 - 9.170
 - 9.171
 - 9.172
 - 9.173
 - 9.174
 - 9.175
 - 9.176
 - 9.177
 - 9.178
 - 9.179
 - 9.180
 - 9.181
 - 9.182
 - 9.183
 - 9.184
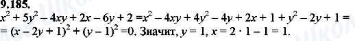
 - 9.185
 - 9.186
 - 9.189
 - 9.190
 - 9.191
 - 9.192
 - 9.193
 - 9.194
 - 9.195
 - 9.196
 - 9.197
 - 9.198
 - 9.199
 - 9.200
 - 9.201
 - 9.202
 - 9.203
 - 9.204
 - 9.205
 - 9.206
 - 9.207
 - 9.208
 - 9.209
 - 9.210
 - 9.211
 - 9.212
 - 9.213
 - 9.214
 - 9.215