Ех.74. Unit 4


- Ех.1
- Ех.2
- Ех.3
- Ех.4
- Ех.5
- Ех.6
- Ех.7
- Ех.8
- Ех.9
- Ех.10
- Ех.12
- Ех.13
- Ех.14
- Ех.15
- Ех.16
- Ех.17
- Ех.18
- Ех.19
- Ех.20
- Ех.21
- Ех.22
- Ех.23
- Ех.24
- Ех.25
- Ех.26
- Ех.27
- Ех.28
- Ех.29
- Ех.30
- Ех.31
- Ех.32
- Ех.33
- Ех.34
- Ех.36
- Ех.37
- Ех.38
- Ех.39
- Ех.40
- Ех.41
- Ех.42
- Ех.43
- Ех.44
- Ех.45
- Ех.46
- Ех.47
- Ех.48
- Ех.49
- Ех.50
- Ех.51
- Ех.52
- Ех.53
- Ех.54
- Ех.55
- Ех.56
- Ех.57
- Ех.58
- Ех.59
- Ех.60
- Ех.61
- Ех.62
- Ех.63
- Ех.64
- Ех.65
- Ех.66
- Ех.67
- Ех.68
- Ех.69
- Ех.70
- Ех.71
- Ех.72-73
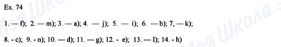
- Ех.74
- Ех.76
- Ех.77