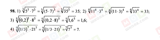
98. Степень с рациональным показателем


- 62
 - 63
 - 64
 - 65
 - 66
 - 67
 - 68
 - 69
 - 70
 - 71
 - 72
 - 73
 - 74
 - 75
 - 76
 - 77
 - 78
 - 81
 - 82
 - 83
 - 84
 - 85
 - 86
 - 87
 - 88
 - 89
 - 90
 - 91
 - 92
 - 93
 - 94
 - 95
 - 96
 - 97
 - 98
 - 99
 - 100
 - 101
 - 102
 - 103
 - 104
 - 105
 - 106
 - 107
 - 108
 - 109
 - 110
 - 111
 - 112
 - 113
 - 114
 - 115
 - 116
 - 117
 - 118
 - 119
 - 120
 - 121
 - 122
 - 123
 - 124
 - 125
 - 126
 - 127
 - 128
 - 129
 - 130
 - 131
 - 132
 - 133
 - 134
 - 135
 - 136
 - 137
 - 138
 - 139
 - 140
 - 141
 - 142
 - 143
 - 144
 - 145
 - 146
 - 147
 - 148
 - 149
 - 150
 - 151
 - 152
 - 153
 - 154
 - 155
 - 156
 - 157
 - 158
 - 159
 - 160
 - 161
 - 162
 - 163
 - 164
 - 166
 - 167
 - 168
 - 169
 - 170
 - 171
 - 172
 - 173
 - 174
 - 175
 - 176
 - 177
 - 178
 - 179
 - 180
 - 181
 - 182
 - 183
 - 184
 - 185
 - 186
 - 187
 - 188
 - 189
 - 190
 - 191
 - 192
 - 193
 - 194
 - 195
 - 196
 - 197
 - 198
 - 199
 - 200
 - 201
 - 202
 - 203
 - 204
 - 205
 - 206
 - 207
 - 208
 - 209
 - 210
 - 211
 - 212
 - 213
 - 214
 - 215
 - 216
 - 217
 - 218
 - 219
 - 220
 - 221
 - 222