304. Глава 4. Элементы тригонометрии


- 223
 - 224
 - 225
 - 226
 - 227
 - 228
 - 229
 - 230
 - 231
 - 234
 - 235
 - 236
 - 237
 - 238
 - 239
 - 240
 - 242
 - 243
 - 244
 - 245
 - 246
 - 247
 - 248
 - 249
 - 250
 - 251
 - 252
 - 253
 - 254
 - 255
 - 256
 - 257
 - 258
 - 259
 - 260
 - 261
 - 262
 - 263
 - 264
 - 265
 - 267
 - 268
 - 269
 - 270
 - 271
 - 272
 - 273
 - 274
 - 276
 - 277
 - 278
 - 279
 - 280
 - 281
 - 282
 - 283
 - 284
 - 285
 - 286
 - 287
 - 288
 - 289
 - 290
 - 291
 - 292
 - 293
 - 294
 - 295
 - 296
 - 297
 - 298
 - 299
 - 300
 - 301
 - 302
 - 303
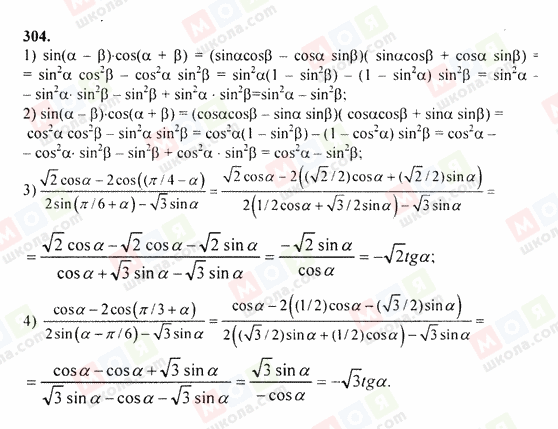
 - 304
 - 305
 - 306
 - 307
 - 308
 - 309
 - 310
 - 311
 - 312
 - 313
 - 314
 - 315
 - 316
 - 317
 - 318
 - 319
 - 320
 - 321
 - 322
 - 323
 - 324
 - 325
 - 326
 - 327
 - 328
 - 329
 - 330
 - 331
 - 332
 - 333
 - 334
 - 336
 - 337
 - 338
 - 339
 - 340
 - 341
 - 342
 - 343
 - 344
 - 345
 - 346
 - 347
 - 348
 - 349
 - 350
 - 351
 - 352
 - 353
 - 354
 - 355
 - 356
 - 357
 - 358
 - 359
 - 360