10.1.D08. 1. Отрезки, углы, треуглольники


- 10.1.A01
- 10.1.A02
- 10.1.A03
- 10.1.A04
- 10.1.A05
- 10.1.A06
- 10.1.A07
- 10.1.A08
- 10.1.A09
- 10.1.A10
- 10.1.A11
- 10.1.A12
- 10.1.A13
- 10.1.A14
- 10.1.A15
- 10.1.B01
- 10.1.B02
- 10.1.B03
- 10.1.B04
- 10.1.B05
- 10.1.B06
- 10.1.B07
- 10.1.B08
- 10.1.B09
- 10.1.B10
- 10.1.B11
- 10.1.B12
- 10.1.B13
- 10.1.B14
- 10.1.B15
- 10.1.C01
- 10.1.C02
- 10.1.C03
- 10.1.C04
- 10.1.C05
- 10.1.C06
- 10.1.C07
- 10.1.C08
- 10.1.C09
- 10.1.C10
- 10.1.C11
- 10.1.C12
- 10.1.C13
- 10.1.C14
- 10.1.C15
- 10.1.D01
- 10.1.D02
- 10.1.D03
- 10.1.D04
- 10.1.D05
- 10.1.D06
- 10.1.D07
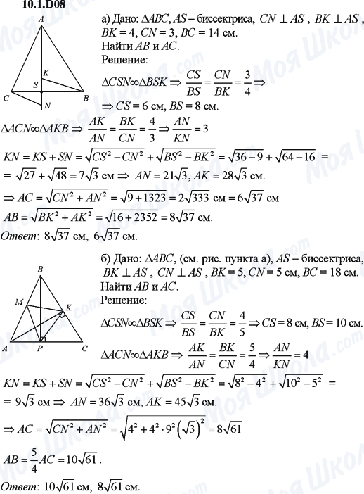
- 10.1.D08
- 10.1.D09
- 10.1.D10
- 10.1.D11
- 10.1.D12
- 10.1.D13
- 10.1.D14
- 10.1.D15