4.142. Степени и логарифмы


- 4.51
- 4.52
- 4.53
- 4.54
- 4.55
- 4.56
- 4.57
- 4.58
- 4.59
- 4.60
- 4.61
- 4.62
- 4.63
- 4.64
- 4.65
- 4.66
- 4.67
- 4.68
- 4.69
- 4.70
- 4.71
- 4.72
- 4.73
- 4.74
- 4.75
- 4.76
- 4.77
- 4.78
- 4.79
- 4.80
- 4.81
- 4.82
- 4.83
- 4.84
- 4.85
- 4.86
- 4.87
- 4.88
- 4.89
- 4.90
- 4.91
- 4.92
- 4.93
- 4.94
- 4.95
- 4.96
- 4.97
- 4.98
- 4.99
- 4.100
- 4.101
- 4.102
- 4.103
- 4.104
- 4.105
- 4.106
- 4.107
- 4.108
- 4.109
- 4.110
- 4.111
- 4.112
- 4.113
- 4.114
- 4.115
- 4.116
- 4.117
- 4.118
- 4.119
- 4.120
- 4.121
- 4.122
- 4.123
- 4.124
- 4.125
- 4.126
- 4.127
- 4.128
- 4.129
- 4.130
- 4.131
- 4.132
- 4.133
- 4.134
- 4.135
- 4.136
- 4.137
- 4.138
- 4.139
- 4.140
- 4.141
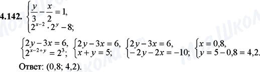
- 4.142
- 4.143
- 4.144
- 4.145
- 4.146
- 4.147
- 4.148
- 4.149
- 4.150
- 4.151
- 4.152
- 4.153
- 4.154
- 4.155
- 4.156