6.94. Уравнения


- 6.1
- 6.2
- 6.3
- 6.4
- 6.5
- 6.6
- 6.7
- 6.8
- 6.9
- 6.10
- 6.11
- 6.12
- 6.13
- 6.14
- 6.15
- 6.16
- 6.17
- 6.18
- 6.19
- 6.20
- 6.21
- 6.22
- 6.23
- 6.24
- 6.25
- 6.26
- 6.27
- 6.28
- 6.29
- 6.30
- 6.31
- 6.32
- 6.33
- 6.34
- 6.35
- 6.36
- 6.37
- 6.38
- 6.39
- 6.40
- 6.41
- 6.42
- 6.43
- 6.44
- 6.45
- 6.46
- 6.47
- 6.48
- 6.49
- 6.50
- 6.51
- 6.52
- 6.53
- 6.54
- 6.55
- 6.56
- 6.57
- 6.58
- 6.59
- 6.60
- 6.61
- 6.62
- 6.63
- 6.64
- 6.65
- 6.66
- 6.67
- 6.68
- 6.69
- 6.70
- 6.71
- 6.72
- 6.73
- 6.74
- 6.75
- 6.76
- 6.77
- 6.78
- 6.79
- 6.80
- 6.81
- 6.82
- 6.83
- 6.84
- 6.85
- 6.86
- 6.87
- 6.88
- 6.89
- 6.90
- 6.91
- 6.92
- 6.93
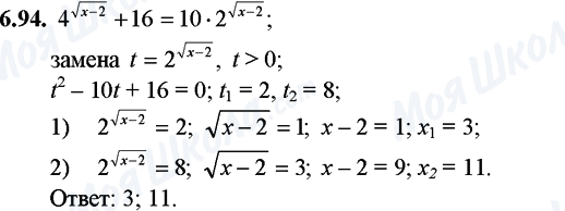
- 6.94
- 6.95
- 6.96
- 6.97
- 6.98
- 6.99
- 6.100
- 6.101
- 6.102
- 6.103
- 6.104
- 6.105
- 6.106
- 6.107
- 6.108
- 6.109
- 6.110
- 6.111
- 6.112
- 6.113
- 6.114
- 6.115
- 6.117
- 6.118
- 6.119
- 6.120
- 6.121
- 6.122
- 6.123
- 6.124
- 6.125
- 6.126
- 6.127
- 6.128
- 6.129
- 6.130
- 6.131
- 6.132
- 6.133
- 6.134
- 6.135
- 6.136
- 6.137
- 6.138
- 6.139
- 6.140
- 6.141
- 6.142
- 6.143
- 6.144