6.155. Модули


- 6.145
- 6.146
- 6.147
- 6.148
- 6.149
- 6.150
- 6.151
- 6.152
- 6.153
- 6.154
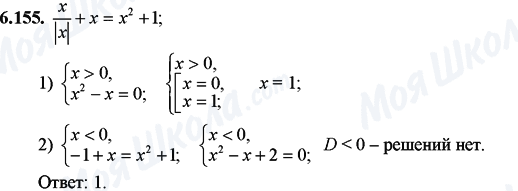
- 6.155
- 6.156
- 6.157
- 6.158
- 6.159
- 6.160
- 6.161
- 6.162
- 6.163
- 6.164
- 6.165
- 6.166
- 6.167
- 6.168
- 6.169
- 6.170
- 6.171
- 6.172
- 6.173
- 6.174
- 6.175
- 6.176
- 6.177
- 6.178
- 6.179
- 6.180
- 6.181
- 6.182
- 6.183
- 6.184
- 6.185
- 6.186
- 6.187
- 6.188
- 6.189
- 6.190
- 6.191
- 6.192
- 6.193
- 6.194
- 6.195
- 6.196
- 6.197
- 6.198
- 6.199
- 6.200
- 6.201
- 6.202
- 6.203
- 6.204
- 6.205
- 6.206