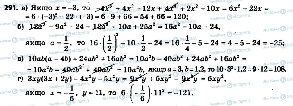
291. Розділ 1. ЦІЛІ ВИРАЗИ


- 5
 - 6
 - 7
 - 8
 - 9
 - 10
 - 11
 - 12
 - 13
 - 14
 - 15
 - 16
 - 17
 - 18
 - 19
 - 20
 - 21
 - 22
 - 23
 - 24
 - 25
 - 26
 - 27
 - 28
 - 29
 - 30
 - 31
 - 32
 - 38
 - 39
 - 40
 - 41
 - 42
 - 43
 - 44
 - 45
 - 46
 - 47
 - 48
 - 49
 - 50
 - 51
 - 52
 - 53
 - 54
 - 55
 - 56
 - 57
 - 58
 - 59
 - 60
 - 61
 - 62
 - 63
 - 64
 - 65
 - 66
 - 67
 - 68
 - 69
 - 70
 - 71
 - 72
 - 73
 - 79
 - 80
 - 81
 - 82
 - 83
 - 84
 - 85
 - 86
 - 87
 - 88
 - 89
 - 90
 - 91
 - 92
 - 93
 - 94
 - 95
 - 96
 - 97
 - 98
 - 99
 - 100
 - 101
 - 102
 - 103
 - 104
 - 105
 - 106
 - 107
 - 108
 - 109
 - 110
 - 111
 - 112
 - 113
 - 114
 - 115
 - 116
 - 117
 - 118
 - 119
 - 120
 - 121
 - 122
 - 123
 - 124
 - 125
 - 126
 - 127
 - 128
 - 129
 - 130
 - 131
 - 132
 - 133
 - 134
 - 135
 - 136
 - 137
 - 138
 - 139
 - 140
 - 141
 - 142
 - 143
 - 144
 - 145
 - 146
 - 147
 - 148
 - 149
 - 150
 - 151
 - 152
 - 153
 - 154
 - 162
 - 163
 - 164
 - 165
 - 166
 - 167
 - 168
 - 169
 - 170
 - 171
 - 172
 - 173
 - 174
 - 175
 - 176
 - 177
 - 178
 - 179
 - 180
 - 181
 - 182
 - 183
 - 184
 - 185
 - 186
 - 191
 - 192
 - 193
 - 194
 - 195
 - 196
 - 197
 - 198
 - 199
 - 200
 - 201
 - 202
 - 203
 - 204
 - 205
 - 206
 - 207
 - 208
 - 209
 - 210
 - 211
 - 212
 - 213
 - 214
 - 215
 - 216
 - 217
 - 218
 - 219
 - 223
 - 224
 - 225
 - 238
 - 239
 - 240
 - 241
 - 242
 - 243
 - 244
 - 245
 - 246
 - 247
 - 248
 - 249
 - 250
 - 251
 - 252
 - 253
 - 254
 - 255
 - 256
 - 257
 - 258
 - 259
 - 260
 - 261
 - 262
 - 263
 - 264
 - 265
 - 266
 - 267
 - 268
 - 269
 - 270
 - 271
 - 272
 - 273
 - 274
 - 275
 - 276
 - 277
 - 278
 - 279
 - 280
 - 281
 - 282
 - 283
 - 284
 - 285
 - 286
 - 287
 - 288
 - 289
 - 290
 - 291
 - 292
 - 293
 - 294
 - 295
 - 296
 - 297
 - 299
 - 300
 - 301
 - 302
 - 303
 - 304
 - 305
 - 306
 - 307
 - 308
 - 309
 - 310
 - 311
 - 312
 - 313
 - 314
 - 315
 - 316
 - 317
 - 318
 - 319
 - 320
 - 321
 - 322
 - 323
 - 324
 - 325
 - 326
 - 327
 - 328
 - 329
 - 330
 - 331
 - 332
 - 333
 - 334
 - 335