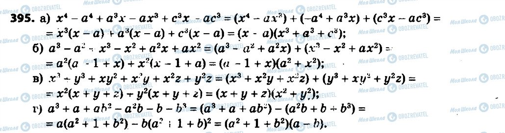
395. Розділ 2. РОЗКЛАДАННЯ МНОГОЧЛЕНІВ НА МНОЖНИКИ


- 339
- 340
- 341
- 342
- 343
- 344
- 345
- 346
- 347
- 348
- 349
- 350
- 351
- 352
- 353
- 354
- 355
- 356
- 357
- 358
- 376
- 377
- 378
- 379
- 380
- 381
- 382
- 383
- 384
- 385
- 386
- 387
- 388
- 389
- 390
- 391
- 392
- 393
- 394
- 395
- 396
- 397
- 398
- 399
- 400
- 401
- 402
- 403
- 404
- 407
- 430
- 432
- 434
- 436
- 440
- 446
- 464
- 465
- 466
- 467
- 469
- 470
- 473
- 475
- 478
- 479
- 483
- 486
- 488
- 493
- 496
- 498
- 506
- 508
- 512
- 513
- 514
- 516
- 520
- 523
- 524
- 528
- 531
- 537
- 540
- 544
- 548
- 551
- 556
- 559
- 560
- 561
- 562
- 568
- 575
- 577
- 580
- 581
- 585
- 586
- 589
- 592
- 593
- 598
- 604
- 605
- 606
- 607
- 608
- 609
- 610
- 611
- 616
- 617
- 620
- 622
- 625
- 626
- 630
- 632
- 635
- 639
- 641
- 644
- 646
- 650
- 656
- 659
- 663
- 666
- 668
- 669
- 670
- 671
