13.107. 4.Формулы двойного и половинного аргумента


- 13.104
- 13.105
- 13.106
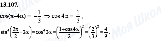
- 13.107
- 13.108
- 13.109
- 13.110
- 13.111
- 13.112
- 13.113
- 13.114
- 13.115
- 13.116
- 13.117
- 13.118
- 13.119
- 13.120
- 13.121
- 13.122
- 13.123
- 13.124
- 13.125
- 13.126
- 13.127
- 13.128
- 13.129
- 13.130
- 13.131
- 13.132
- 13.133
- 13.134
- 13.135
- 13.136
- 13.137
- 13.138
- 13.139
- 13.140
- 13.141
- 13.142
- 13.143
- 13.144
- 13.145
- 13.146
- 13.147
- 13.148
- 13.149
- 13.150
- 13.151
- 13.152
- 13.153
- 13.154
- 13.155
- 13.156
- 13.157
- 13.158