1188. Задачі та вправи для повторення


- 1131
 - 1132
 - 1133
 - 1134
 - 1135
 - 1136
 - 1137
 - 1138
 - 1139
 - 1140
 - 1141
 - 1142
 - 1143
 - 1144
 - 1145
 - 1146
 - 1147
 - 1148
 - 1149
 - 1150
 - 1151
 - 1152
 - 1153
 - 1154
 - 1155
 - 1156
 - 1157
 - 1158
 - 1159
 - 1160
 - 1161
 - 1162
 - 1163
 - 1164
 - 1165
 - 1166
 - 1167
 - 1168
 - 1169
 - 1170
 - 1171
 - 1172
 - 1173
 - 1174
 - 1175
 - 1176
 - 1177
 - 1178
 - 1179
 - 1180
 - 1181
 - 1182
 - 1183
 - 1184
 - 1185
 - 1186
 - 1187
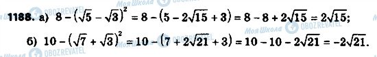
 - 1188
 - 1189
 - 1190
 - 1191
 - 1192
 - 1193
 - 1194
 - 1195
 - 1196
 - 1197
 - 1198
 - 1199
 - 1200
 - 1201
 - 1202
 - 1203
 - 1204
 - 1205
 - 1206
 - 1207
 - 1208