10.2.D04. 2. Многгоугольники


- 10.2.A01
- 10.2.A02
- 10.2.A03
- 10.2.A04
- 10.2.A05
- 10.2.A06
- 10.2.A07
- 10.2.A08
- 10.2.A09
- 10.2.A10
- 10.2.A11
- 10.2.A12
- 10.2.A13
- 10.2.A14
- 10.2.A15
- 10.2.B01
- 10.2.B02
- 10.2.B03
- 10.2.B04
- 10.2.B05
- 10.2.B06
- 10.2.B07
- 10.2.B08
- 10.2.B09
- 10.2.B10
- 10.2.B11
- 10.2.B12
- 10.2.B13
- 10.2.B14
- 10.2.B15
- 10.2.C01
- 10.2.C02
- 10.2.C03
- 10.2.C04
- 10.2.C05
- 10.2.C06
- 10.2.C07
- 10.2.C08
- 10.2.C09
- 10.2.C10
- 10.2.C11
- 10.2.C12
- 10.2.C13
- 10.2.C14
- 10.2.C15
- 10.2.D01
- 10.2.D02
- 10.2.D03
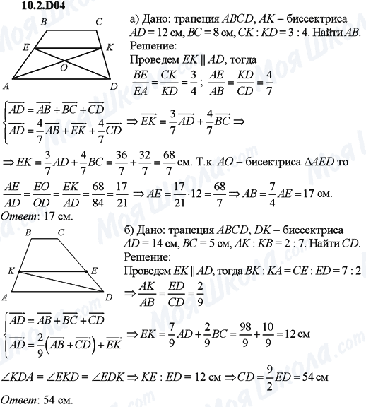
- 10.2.D04
- 10.2.D05
- 10.2.D06
- 10.2.D07
- 10.2.D08
- 10.2.D09
- 10.2.D10
- 10.2.D11
- 10.2.D12
- 10.2.D13
- 10.2.D14
- 10.2.D15