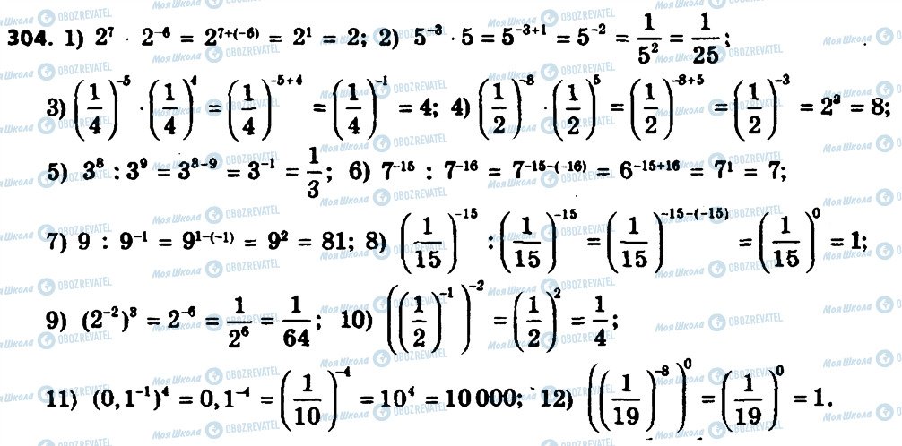
304. Розділ 1. Раціональні вирази


- 2
 - 3
 - 4
 - 5
 - 6
 - 7
 - 8
 - 9
 - 10
 - 11
 - 12
 - 13
 - 14
 - 15
 - 17
 - 18
 - 19
 - 20
 - 21
 - 22
 - 23
 - 24
 - 25
 - 26
 - 27
 - 28
 - 29
 - 31
 - 32
 - 33
 - 34
 - 35
 - 36
 - 37
 - 38
 - 39
 - 40
 - 41
 - 42
 - 43
 - 44
 - 45
 - 46
 - 47
 - 48
 - 49
 - 50
 - 51
 - 52
 - 53
 - 54
 - 55
 - 56
 - 57
 - 61
 - 62
 - 63
 - 64
 - 65
 - 66
 - 67
 - 68
 - 69
 - 70
 - 72
 - 73
 - 74
 - 75
 - 76
 - 77
 - 78
 - 79
 - 80
 - 81
 - 82
 - 83
 - 84
 - 85
 - 86
 - 88
 - 89
 - 90
 - 91
 - 92
 - 93
 - 94
 - 95
 - 96
 - 97
 - 98
 - 99
 - 100
 - 101
 - 102
 - 103
 - 104
 - 105
 - 106
 - 107
 - 108
 - 109
 - 110
 - 111
 - 112
 - 113
 - 114
 - 115
 - 116
 - 117
 - 118
 - 119
 - 120
 - 121
 - 122
 - 123
 - 124
 - 125
 - 126
 - 127
 - 128
 - 129
 - 130
 - 131
 - 132
 - 133
 - 134
 - 135
 - 137
 - 138
 - 139
 - 140
 - 141
 - 142
 - 143
 - 144
 - 145
 - 146
 - 147
 - 148
 - 149
 - 150
 - 151
 - 152
 - 153
 - 154
 - 155
 - 156
 - 157
 - 158
 - 159
 - 160
 - 161
 - 162
 - 163
 - 164
 - 165
 - 166
 - 167
 - 168
 - 169
 - 170
 - 171
 - 172
 - 173
 - 174
 - 175
 - 176
 - 177
 - 178
 - 179
 - 180
 - 181
 - 182
 - 183
 - 184
 - 185
 - 186
 - 187
 - 188
 - 189
 - 190
 - 191
 - 192
 - 193
 - 194
 - 195
 - 196
 - 197
 - 198
 - 199
 - 200
 - 201
 - 202
 - 203
 - 204
 - 205
 - 206
 - 207
 - 208
 - 209
 - 210
 - 211
 - 212
 - 213
 - 214
 - 215
 - 216
 - 217
 - 218
 - 219
 - 220
 - 221
 - 222
 - 223
 - 224
 - 225
 - 226
 - 227
 - 229
 - 230
 - 231
 - 232
 - 233
 - 234
 - 235
 - 236
 - 237
 - 238
 - 239
 - 240
 - 241
 - 242
 - 243
 - 244
 - 245
 - 246
 - 247
 - 248
 - 249
 - 250
 - 251
 - 252
 - 253
 - 254
 - 255
 - 256
 - 257
 - 258
 - 259
 - 260
 - 261
 - 262
 - 264
 - 265
 - 266
 - 267
 - 268
 - 269
 - 270
 - 271
 - 272
 - 273
 - 274
 - 275
 - 276
 - 277
 - 278
 - 279
 - 280
 - 281
 - 282
 - 283
 - 284
 - 285
 - 286
 - 287
 - 288
 - 289
 - 290
 - 291
 - 292
 - 293
 - 294
 - 296
 - 297
 - 298
 - 299
 - 300
 - 301
 - 302
 - 303
 - 304
 - 305
 - 306
 - 307
 - 308
 - 310
 - 311
 - 312
 - 313
 - 314
 - 315
 - 316
 - 317
 - 318
 - 319
 - 320
 - 321
 - 322
 - 323
 - 324
 - 325
 - 326
 - 327
 - 328
 - 332
 - 334
 - 335
 - 336
 - 337
 - 338
 - 339
 - 340
 - 341
 - 342
 - 343
 - 344
 - 345
 - 346
 - 347
 - 348
 - 349
 - 350
 - 351
 - 352
 - 353
 - 354
 - 355
 - 356
 - 357
 - 358
 - 361
 - 362
 - 363
 - 364
 - 367
 - 368
 - 369
 - 370
 - 371
 - 372
 - 373
 - 374
 - 375
 - 376
 - 378
 - 379
 - 380
 - 381
 - 382
 - 383
 - 384
 - 385
 - 386
 - 387
 - 388
 - 389
 - 390
 - 391
 - 392
 - 393
 - 394
 - 395
 - 396
 - 397
 - 398
 - 399
 - 400
 - 401
 - 402
 - 403
 - 404
 - 405
 - 406
 - 407
 - 408
 - 409
 - 410
 - 411
 - 412
 - 413
 - 414
 - 415
 - 416
 - 417
 - 418
 - 419
 - 420
 - 421
 - 422
 - 423
 - 424
 - 425
 - 426
 - 427
 - 428
 - 429
 - 430
 - 431
 - 432
 - 433
 - 434
 - 435
 - 436
 - 437
 - 438
 - 439
 - 440
 - 441
 - 442
 - 443
 - 444
 - 445
 - 446
 - 447
 - 448
 - 449
 - 450
 - 451
 - 452
 - 453
 - 454
 - 455
 - 456
 - 457
 - 458
 - 459
 - 460
 - 461
 - 462
 - 463
 - 464
 - 465
 - 466
 - 467
 - 468
 - 469
 - 470
 - 471
 - 472
 - 473
 - 474
 - 475
 - 476
 - 477
 - 478
 - 479
 - 480
 - 481
 - 482
 - 483
 - 484
 - 485
 - 486
 - 487
 - 488
 - 489
 - 490
 - 491
 - 492
 - 493
 - 494
 - 495
 - 496
 - 497
 - 498
 - 499
 - 500