Названы фамилии 297 выпускников, которые получат стипендию от Зеленского за лучшие результаты на НМТ 2025

Президент Украины Владимир Зеленский назначил 297 стипендий участникам национального мультипредметного теста, которые в 2025 году продемонстрировали самые высокие результаты. Перечень сформирован с учетом предложений Украинского центра оценивания качества образования.
Об этом сообщило Министерство образования и науки Украины. Размер премии составит 10 000 гривен, а поступающим нужно было иметь от 185 баллов на экзамене.
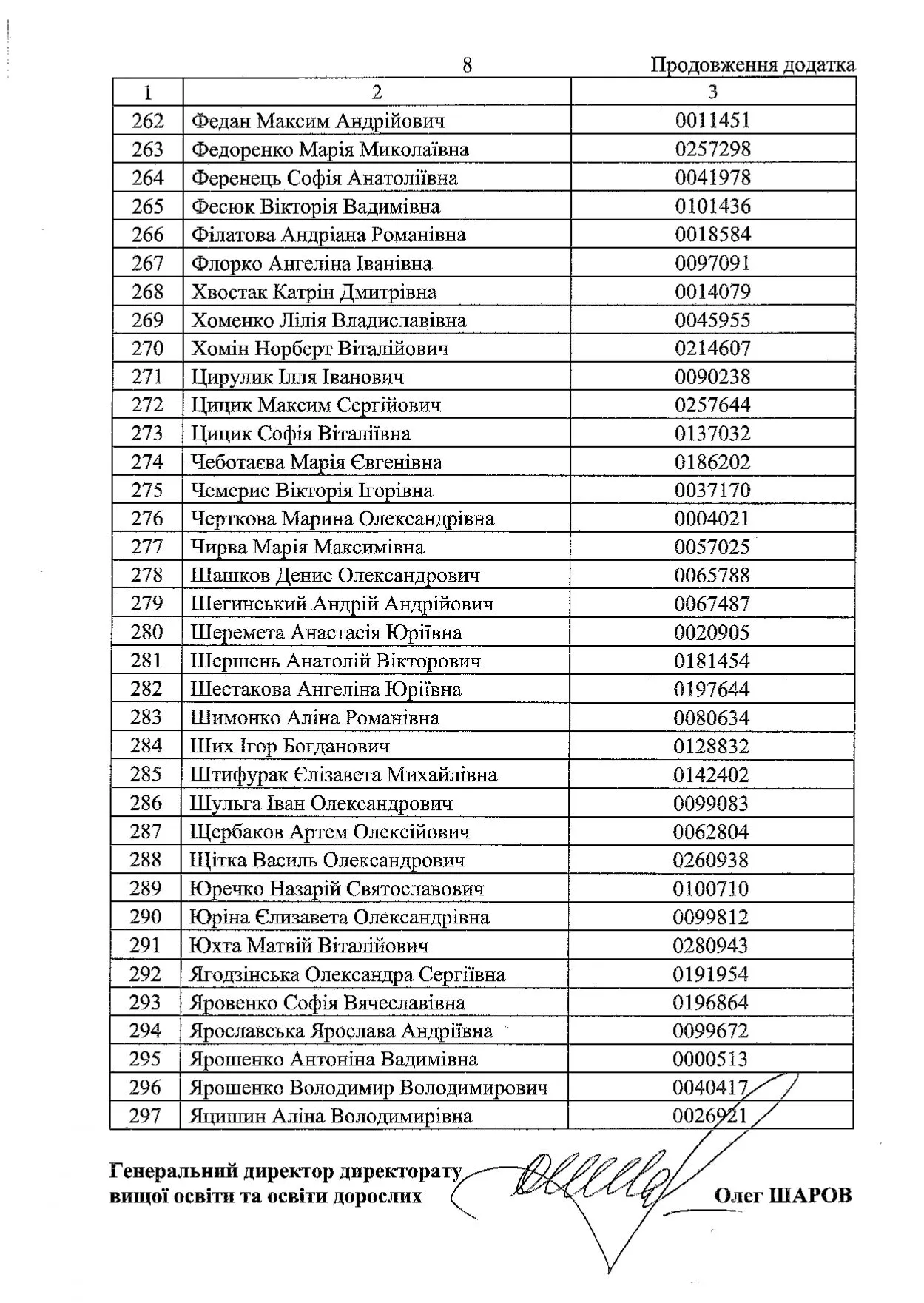
Список студентов, которые получат премии
Как известно, с 1 сентября Правительство увеличило размер президентских стипендий для учащихся профтехов до 6 320 грн, для студентов колледжей и техникумов – 7 600 грн, для студентов университетов – 10 000 грн, аспирантов – 23 700 грн.
Напомним, волонтерская деятельность будет влиять на поступление в учреждения высшего образования. Так, ректоры должны будут способствовать студенческому волонтерству в свободное от занятий время. Участие в волонтерской деятельности будет повышать шансы поступающих, которые будут указывать об этом в мотивационных письмах. Кроме того, волонтерство будет влиять на баллы, которые формируются при определении рейтинга на стипендию.
Ранее OBOZ.UA рассказывал, что украинцев разозлила идея увеличить недельную нагрузку учителей.
Только проверенная информация у нас в Telegram-канале OBOZ.UA и Viber. Не ведитесь на фейки!
